Dartma maşınının performansının yoxlanılması sahəsində ənənəvi üsullara əsasən vibrasiya sınağı, səs-küy sınağı və s. daxildir. Bununla belə, gərginlik dalğa formalarının dəqiq tutulması və əməliyyat məlumatlarının təhlili motorun vəziyyətinin qiymətləndirilməsinin əsasını təşkil edir. Geniş təkmilləşdirmədən sonra NIDEC Lift Motor Qrupu dartma maşınlarının arxa elektromotor qüvvəsi prinsipinə əsaslanan FFT dalğa formasının təhlili sistemini müstəqil olaraq işləyib hazırlayıb – mürəkkəb xarici sensorlara ehtiyac olmadan o, yalnız siqnalın çevrilməsi yolu ilə sinus dalğaları yarada bilər, dartma maşınının sınağı üçün daha səmərəli və dəqiq həll yolu təqdim edir.
Arızanın Aşkarlanması Müdafiə Xəttini Gücləndirmək üçün Çoxsaylı Alqoritmlər
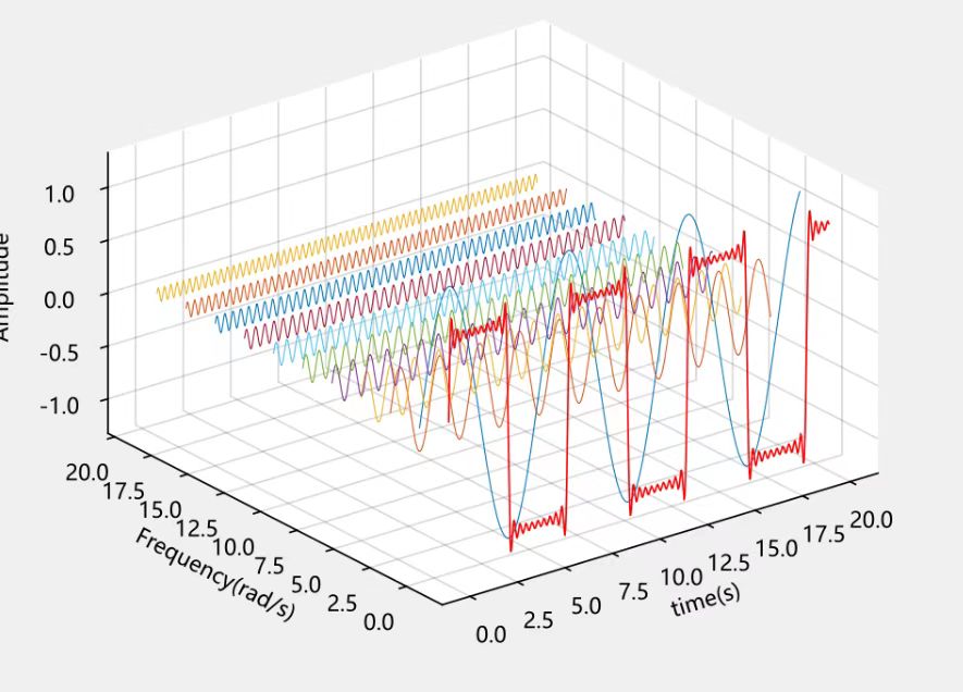
NVH analiz alətlərinin əsasını təşkil edən Sürətli Furye Çevrilmə (FFT) alqoritmi xətaların aşkarlanması üçün klassik alətdir. O, motorun işləməsi zamanı toplanan induksiya edilmiş elektromotor qüvvənin zaman-domen siqnallarını dəqiqliklə tezlik zonası siqnallarına çevirə bilir. Daimi maqnitli sinxron mühərriklərin faktiki işində, daimi maqnitlərin yanlış hizalanması, tərs yapışdırılması və ofset yapışdırılması kimi nasazlıqlar, xüsusi tezliklərdə anormal siqnallar yaradan induksiya edilmiş elektromotor qüvvəsində incə dəyişikliklərdə əks olunacaq. Güclü siqnal analizi qabiliyyəti ilə FFT alqoritmi bu incə dəyişiklikləri dəqiqliklə ələ keçirə və nasazlığın diaqnozu üçün vacib ipucları verə bilər.
NIDEC Lift Mühərriki Test Həllinin iki nüvəsi
Hardware Core: Yüksək Nümunə Sürətli Məlumat Alma Kartı
Siqnalın "təhrifinin" qarşısını almaq üçün biz aparat əsası kimi yüksək seçmə sürəti və yüksək ayırdetmə qabiliyyətinə malik məlumat toplama kartlarını seçirik. O, real vaxt rejimində mühərrikin işləməsi zamanı arxa elektromotor qüvvənin kiçik gərginlik dəyişikliklərini ələ keçirə, analoq siqnalları dəqiq rəqəmsal siqnallara çevirə və sonrakı analiz üçün “yüksək keyfiyyətli xam məlumat” təqdim edə bilər.
Seçilmiş məlumat toplama kartının tələblərə cavab verdiyinə əmin olmaq üçün ME komandası onu sınaqdan keçirdi. Təhlil göstərir ki, seçilmiş məlumat toplama kartı əla sabitliyə malikdir, A, B və C üç ölçücü arasında GRR təxminən 0,072% təşkil edir.
Proqram təminatının nüvəsi: Müstəqil olaraq hazırlanmış FFT Dalğa Forması Analiz Sistemi
Bu sistemin əsas üstünlüyü "peşəkar məlumatların" "görünən, təhlil edilə bilən və istifadə edilə bilən" test nəticələrinə çevrilməsindədir. Onun üç əsas funksiyası zaman sahəsindən tezlik sahəsinə qədər tam ölçülü təhlili əhatə edir:
• İnduksiya edilmiş Gərginlik Zamanı-Domen Qrafiki: Real vaxt gərginlik siqnallarının zamanla dəyişmə əyrisini göstərir, gərginlik dalğalanmalarını və pik baş vermə qovşaqlarını intuitiv şəkildə göstərir, ani siqnal dəyişikliklərini bir baxışda aydın edir;
• Lissajous Fiqur Təhlili: Müxtəlif siqnalların faza əlaqəsi vasitəsilə Lissajous fiqurlarını yaradır, dartma maşınının əməliyyat dayanıqlığını tez mühakimə edir və bir baxışda anormal faza sapmalarını müəyyən edir;
• Dərin Spektr Analizi: Zaman-domen siqnallarını tezlik-domen məlumatlarına çevirir, hər bir tezlik komponentinin nisbətini aydın şəkildə göstərir və harmonik müdaxilə kimi potensial problemləri asanlıqla aşkar edir.
“Məlumatlara baxmaqdan” əlavə, sistem daha çox “nəticələrin çatdırılmasına” diqqət yetirir. Dartma maşınının işini qoruyan üç əsas test göstəricisi:
1. Pik paylanma dərəcəsi: Gərginlik zirvələrinin paylanmasını hesablayır, piklərin ağlabatan diapazonda olub-olmadığını mühakimə edir və anormal zirvələrin səbəb olduğu motor itkisinin qarşısını alır;
2. Dalğa Formasının Təsadüf Olmama Dərəcəsi: Həqiqi dalğa forması ilə standart sinus dalğası arasındakı fərqi müqayisə edir, dalğa formasının təhrifini kəmiyyətcə müəyyənləşdirir və mühərrikin işə salınması üçün dəqiq əsas verir;
3. Dalğa formasının THD Təhlili: Ümumi harmonik təhrifi hesablayır, harmoniklərin gərginlik dalğa formalarına təsirini intuitiv şəkildə əks etdirir və dartma maşınlarının məhsul keyfiyyətini optimallaşdırmağa kömək edir.
Nailiyyət Ekranı
Müstəqil olaraq hazırlanmış FFT dalğa formasının təhlili sistemi vasitəsilə motor NVH performansının çoxölçülü sınaqları aparılıb, məhsulun keyfiyyəti ilə bağlı problemləri əhəmiyyətli dərəcədə azaldıb və çatdırılmadan əvvəl motor keyfiyyətini təmin edib. 2024-cü ilin dekabr ayından indiyədək təxminən on minlərlə mühərrik sınaqdan keçirilib və sınaqdan keçirilmiş mühərriklərin ilk keçid məhsuldarlığı 99,5%-dən yuxarı saxlanılıb. Bu məlumatların toplanması və təhlili NIDEC lift motorunun keyfiyyətinin etibarlılığını və bu motor FFT performans test proqramının hazırlanmasının əhəmiyyətini tam nümayiş etdirir.
Nəhayət, NVH prinsipinin şərhindən, innovasiyanın tətbiqindən, yüksək sürətli məlumatların əldə edilməsindən, çoxölçülü parametr analizindən tutmuş tam miqyaslı kütləvi məhsul sınaqlarına qədər, bu FFT dalğa forması təhlili sistemi ənənəvi testin məhdudiyyətlərini pozur. Mühərrik fabrikinin keyfiyyətinin yoxlanılması, gündəlik istismar və texniki xidmətin monitorinqi və ya nasazlıqların diaqnostikası üçün, o, lift dartma maşın sənayesində motor performansının səmərəli, təhlükəsiz və etibarlı sınağına yeni təkan verərək, ətraflı və hərtərəfli sınaq dəstəyi təmin edə bilər!




